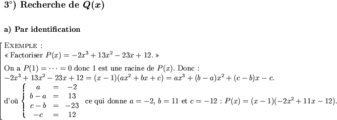
© Y.Moncheaux