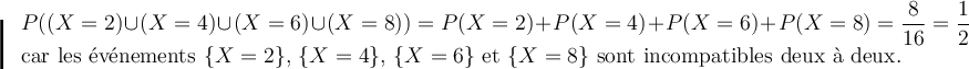
8/14   10/14 
8/14   10/14